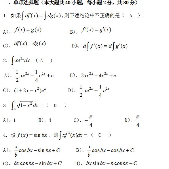
“2019年成人高考專升本高等數學精選試題及答案二”,更多2019成人高考備考資料等信息,可及時關注上海成考網或搜索公眾微信號“上海成考網”關注回復“復習資料”獲取!

注:詳細內容及信息以上海教育考試院_上海招考熱線為準
展開全文
—— 還想了解更多專升本資訊?預約免費咨詢 ——
你的姓名
*聯系方式
就讀年級
就讀專業
立即預約

上海專升本聲明
(一)由于考試政策等各方面情況的不斷調整與變化,本網站所提供的考試信息僅供參考,請以權威部門公布的正式信息為準。
(二)本網站在文章內容來源出處標注為其他平臺的稿件均為轉載稿,免費轉載出于非商業性學習目的,版權歸原作者所有。如您對內容、版權等問題存在異議請于我們聯系,我們會及時處理。
文章來源于網絡,如有侵權,請聯系刪除

升本福利官
統招報名
升本培訓班
英語四級
教師資格
成考報名



